Las enfermedades causadas por Fusarium en los cereales constituyen limitaciones económicamente significativas en los sistemas de producción de cereales. En este estudio, el análisis transcriptómico utilizando RNA-seq se combina con el análisis de metabolitos para proporcionar nuevos conocimientos sobre la interacción entre el trigo harinero y Fusarium pseudograminearum, el agente causal predominante de la pudrición de la corona por Fusarium.

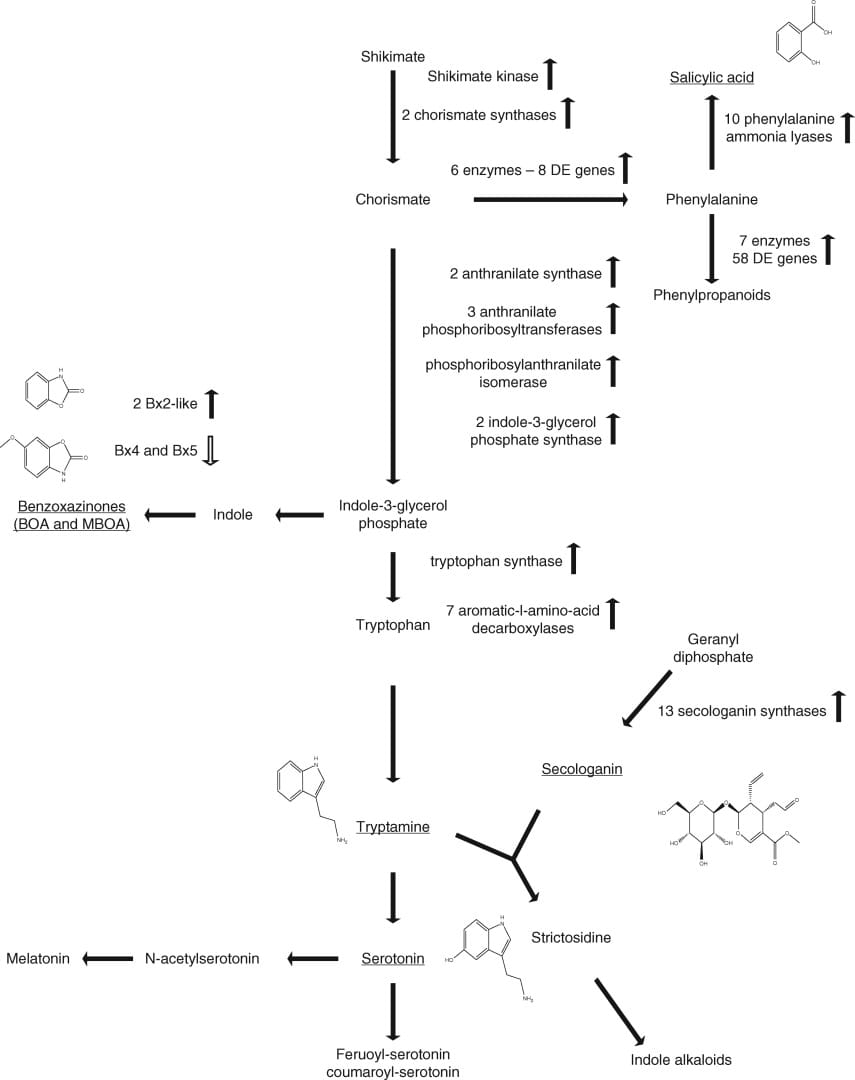
Powell et al. muestran que el trigo responde a la infección mediante la producción de un aluvión de metabolitos secundarios involucrados en la defensa de la planta y enzimas que pueden funcionar en la desintoxicación Fusarium factores de virulencia como el deoxinivalenol. Los descubrimientos presentados aquí ayudarán a los esfuerzos futuros para mejorar la resistencia de los cereales contra Fusarium patógenos

Este documento es parte del Annals of Botany Número especial sobre inmunidad vegetal. Será de libre acceso hasta junio de 2017 y después de abril de 2018.
